一、PPO简介
PPO材料的化学名:聚2,6-二甲基-1,4-苯醚,英文名称:PPO(Polyphenylene O����� �������Ƴ������������ �������Ƴ������������ �������Ƴ����������� �������Ƴ�������xide)或PPE(Polypheylene ether)。市场����� ����������� �������Ƴ������������ �������Ƴ������������ �������Ƴ������������ �������Ƴ��������Ƴ�������上通用的����� �������Ƴ������������ �������Ƴ������������ �������Ƴ������������ �������Ƴ�������主要为改性聚苯醚(MPPO或MPPE),一般加入PS或PA,以改善加工性能等其他性能。改性聚苯醚由于综合����� �������Ƴ������������ �������Ƴ������������ �������Ƴ������������ �������Ƴ������性能好、品级多样成为五大工����� �������Ƴ������������ �������Ƴ������������ �������Ƴ������������ �������Ƴ�������程塑料之一。

(分子式)
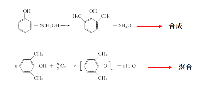
二、PPO合成
PPO合成主要分为单体2,6-二甲基苯酚的合成及聚合两个����� �������Ƴ������������ �������Ƴ������������ �������Ƴ������������ �������Ƴ�������部分。
三、PPO性能特点
四、PPO电性能
PPO分子结构中无极性高的基团,不产生偶极分极,����� �������Ƴ������������ �������Ƴ����������� �������Ƴ������������ �������Ƴ�������电性能十����� �������Ƴ��������� �������Ƴ������������ �������Ƴ����������� �������Ƴ������������ �������Ƴ����������分稳定,在广阔的温度及频����� �������Ƴ������������ �������Ƴ������������ �������Ƴ����������� �������Ƴ�������率范围内保持优异的电性能。����� �������Ƴ������������ �������Ƴ������������ �������Ƴ������������ �������Ƴ�������
五、PPO耐化学品性能
PPO具有优异的耐水性,对于以水为介质的化学����� �������Ƴ������������ �������Ƴ������������ �������Ƴ������������ �������Ƴ�������药品,如酸、碱、盐溶液和洗涤剂等,不管是室温还����� �������Ƴ������������ �������Ƴ������������ �������Ƴ������������ �������Ƴ�������是受热情况下,一般不受影响。����� �������Ƴ����������� �������Ƴ������������ �������Ƴ������������ �������Ƴ�������

六、PPO吸水率&密度
PPO吸水率底、密度底,优势明����� �������Ƴ������������ �������Ƴ����������� �������Ƴ������������ �������Ƴ�������显。
七、PPO与其他工程材料对比

七、SELON改性PPO介绍
&n����� �������Ƴ�������� �������Ƴ������������ �������Ƴ������������ �������Ƴ������������ �������Ƴ�����������bsp;
(SELON改性PP0/PS合成,耐热PPO、增强PPO以及各种阻燃PPO材料)
(SELON改性PPO/PA产品,高抗冲PPO、增强PPO、阻燃PPO以及导电PPO)